Filter Set
This page describes the MegaCam broad-band filters and contrasts them with the SDSS and Pan-STARRS filters. The previous version of this page is available here.
There have been three generations of filters broadband filters for MegaCam. The first set (installed in 2002) a replacement for the damaged i-band filter, (installed in 2007) and the most recent set which are larger, allowing the use of the 4 wing CCDs of MegaCam (installed in 2015). The three sets are shown below. Note the wide (gri) filter in the 3rd generation.

The filter responses shown include the full telescope (mirror+optics+CCD) response. The response curves for the mirror, optics and CCD are taken from Betoule et al. (2013) and their detailed website. The filter responses for the first and second generation of filters are also taken from that site. The filter responses for the third generation of filters is taken from the CFHT filter page The final response curves (filter+telescope+CCD) are given in text format below. The filter curves also include 1.25 airmasses of atmospheric attenuation. The filter transmissions have been measured at multiple locations accross the filter. The responses below are the average transmission.
- First generation:
- Second generation:
- Third generation:
Comparing the MegaCam, SDSS and Pan-STARRS filter sets
The figures below show the final MegaCam filter transmission functions, split by generation, together with the SDSS and Pan-STARRS filters.

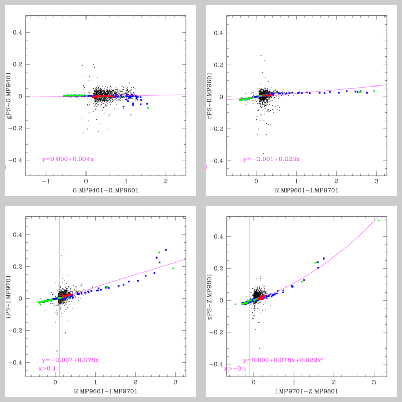
The transformations from SDSS and Pan-STARRS filter sets to the MegaCam filters, and from the MegaCam filters to the SDSS and Pan-STARRS filter sets are illustrated in the figures below. In each plot the, coloured dots represents synthetic photometry, computed by multiplying the filter curves above with spectra from the Pickles (1998) atlas, (shown in blue) the CALSPEC standards (shown in green) or a set of galaxy template spectra (shown in red). The black dots indicate real photometry from various MegaCam fields. The magenta line shows the fit, usually linear, but occasionally a polynomial. The coeffecients are given in magenta on each panel. Vertical magenta lines indicate where the limits of validity of a transformation.
SDSS to MegaCam
The relations for the older griz bands come from the analysis of the SNLS group. The relation for the u band comes from the CFHT MegaPipe web pages. The relation for the new i filter was calculated separately.

The relations for the new filters is shown below. Note the expanded scale for the u-band transformation, which is a bit complicated. Also note that the u-band transformation does not go through 0,0. Finally, the gri/wide filter is not valid red-wards of g-i=1.75.

Pan-STARRS to MegaCam
Following the Pan-STARRS convention, all the transfromations from Pan-STARRS to MegaCam are expressed in terms of a 3-rd order polynomial in g-i. Note the extremely expanded scale for the u-band. The Pan-STARRS system does not have a u-band; this transformation is an extrapolation from the g-band. This transformation also depends on metalicity and therefore on galactic latitude.

MegaCam to SDSS
First generation: One should be sceptical of the u-band transformation.

Second generation

Third generation: Again, one should be sceptical of the u-band transformation.

MegaCam to Pan-STARRS
First generation:

Second generation:

Third generation:

- Date modified: