NGVS MegaPipe documentation

Introduction
This page documents the processing of NGVS with MegaPipe. It outlines the the different background subtraction and stacking procedures used different data products produced, and the filenaming convention.

Stacking procedures

The first part of the stacking procedure is the astrometric/photometric calibration of the Elixir-processed input images. This is almost identical to the procedures described on the MegaPipe documentation. (Go here for the astrometry and here for the photometry.) The SDSS is used for both the astrometric and photometric calibrations. When processing the Elixir-LSB data the photometric calibration is determined on the scale of the mosaic. That is, a single scaling factor is applied to all 36 CCDs. This means that the small (0.03-0.06 mag) photometric zero-point variations across the MegaCam mosaic are not corrected. (see this page for a full discussion). However, a global photometric scaling is required because the nature of the Elixir-LSB; if different scaling factors are applied to different chips the surface brightness levels would not match up across chip boundaries. The two methods that do not use Elixir-LSB data determine the photometric zero-point on a chip-by-chip basis and will have slightly superior photometry.

The next steps are background subtraction and stacking. MegaPipe has implemented three separate methods:

  • Local background subtraction, median combine (Ml128): This is the standard MegaPipe procedure. SWarp is run on the normal Elixir processed images. SWarp removes the background on a local 128x128 pixel grid. Because of this objects which are about this scale or large are effectively removed from the images. Obviously this highly undesirable if one studying the structure of M87 or any of the larger galaxies. However, objects like small galaxies, stars and globular clusters are unaffected. This method provides the best background removal (provided one is not interested in large extended objects), and because the photometric zero-point is computed on a chip-by-chip basis, this method will provide the best photometry.

  • MegaPipe global background subtraction version 2, artifical skepticism combine (Mg002) In this case, the background of each input image is removed globally, that is on the scale of the whole mosaic. The background subtraction is done by using available MegaCam images to build up a general background map. This map is scaled to the appropriate sky level and the subtracted from the NGVS images. A detailed description can be found here. The background subtracted images are combined using artifical skepticism (descibed in the following section). This method does not do quite as good a job at background substraction as the Elixir-LSB methods described below. However, it provides superior point-source photometry, for the reasons noted above. Also, while Elixir-LSB can only be done if the images are taken in a specified sequence, this method can be applied to any image. This is the best method available for the short exposure images.

  • Elixir-LSB global background subtraction, artificial skepticism combine (Mg004): In this case the Elixir-LSB images are stacked. The Elixir-LSB images produced by Jean-Charles Cuillandre have the background variations removed, but still retain a constant background level. MegaPipe removes this constant level from each input image. The background level is determined for each chip the mode of the pixel values. The mode is a true mode (not 3*median - 2*mean) determined by method described here Different chips can have quite background levels; bright galaxies and scattered light from bright foreground stars will raise the background level locally. The lowest background level, that is to say, the background form the least contaminated chip is used as a constant background level for the whole mosaic. Typically, if the field is uncontaminated, the difference between the darkest and brightest chip is only about 0.1% or so.

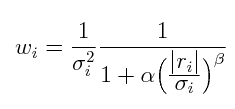
    Having removed the background, the stacking then proceeds as normal. SWarp is used to resample the images. While using a median for combining the images provides excellent rejection of cosmic rays and other outliers, it increases the noise in the output images slightly. The typical decrease in depth is about 0.16 magnitudes. Artificial Skepticism (Stetson 1989) is a method of computing a robust average image using a continuous weighting scheme that is derived from the data themselves. The weights are given by:
    Artificial skepticism
    where wi is the weight of the i-th input pixel, σi; is the standard deviation (determined by the read noise and gain), ri is the residual of i-th input pixel with respect to the current average value. The method starts by using a median as the starting point. Weighted averages are then computed using the equation above iteratively. Pixel values that fall far from the average will be given less weight (ri is larger so wi becomes smaller) in each successive iteration. The equation can be tuned using the free parameters α and β. Here they are set to α=1 and β=2, as used the WFPC2 pipeline. After a few iterations (both MegaPipe and the WFPC2 pipeline stop at 5 iterations) the procedure converges. If there is a defective pixel (e.g affected by a cosmic ray) in the list, the weight for the pixel will be such that it contributes negligibly to the output. If there are no defective pixels, all the pixels will be weighted roughly equally. This is different then a sigma clipping method in that there is no hard, discrete cutoff defining when a pixel is "good" or "bad". Pixels are rejected gradually as they deviate from the central value.

    Examining the output images, one sees excellent cosmic ray rejection. Experiments show that the depth of images combined with artificial skepticism is within 0.08 magnitudes of those using a blind average.

    In practice, for the NGVS data, the images are treated as in the previous method up until the SWarp stage. The images are calibrated and the constant background is removed. as before. SWarp is than used to re-map each of the input images to a common pixel grid, but not to combine them. The remapped images are then combined using gcomb a Fortran implementation of the artificial skepticism algorithm. (The python implementation used by STScI is too slow for 20000x20000 pixel images.).
Long-Short Merged Images:
In the long exposures, the centres of bright galaxies are saturated. A procedure has been developped to replace the central pixels in the long exposures stacks with the equivalent pixels from the short exposure stacks. For each long stack, the saturation level is computed based on the scaling factors and sky levels of the input images. The adopted threshold is set at 50% of the lowest saturation level dictated by any of the input images, to avoid any non-linearity issues. A search is made for pixels exceeding this level in a box around each VCC galaxy in the image. If no saturated pixels are detected, the program moves on to the next galaxy. Most of the VCC galaxies are faint (or at least not centrally concentrated) and have no saturated pixels. If there are saturated pixels, typically, 20 or so pixels at most at very centre of the galaxy are saturated. If there is extended saturation, the search box grows. Once all the saturated pixels in the long exposure are identified, they are replaced by the corresponding pixels in the short image. Because the long and short stacks are already registered to 0.04 arcseconds or better, no shift is required. The photometric scaling is almost identical, since both stacks have the same zero-point. In some cases, a small correction is applied to the scaling of the short image on the order of 1-2%. This correction is computed by comparing the values the non-saturated pixels in the vicinity of the centre of the galaxy in question. The pixels in the long (.l.) image are then replace with the values of the short (.s.) image and the output is written to the merged (.m.) image. The weight and sigma images are also merged. This will cause a sharp drop in weight / increase in sigma near the centre of bright galaxies. These images are available via the regular graphical search tool, the cutout service as well as VOspace.

The procedure is completely automatic. Diagnostic plots are generated and then vetted by eye. The figure at right shows an example, for VCC1043. The merged image is in the top left panel, shown with a log stretch. The saturated pixels that have been replaced are shown in white in the top right panel. Cuts in x and y though the centre of the galaxy are shown in the bottom left panel. The final profile is shown by the heavy lines. The profile from the long exposure stack is shown by a light solid line, while the profile form the short exposure stack is shown by the dashed line. The horizontal magenta line shows the adopted saturation threshold. The long- and short-exposure profiles match closely at low flux levels. At brighter levels, the long-exposure profile becomes saturated. The lower right panel shows a histogram of the flux ratios (long/short) in non-saturated pixels. The mode, shown by the red vertical line is very close to 1:
lsm example


Jointed Images:
Some objects fall on the seam between two NGVS pointings, making cutouts on these objects less useful. Therefore, adjacent images have been SWarped together to provide greater coverage on the seams. Depending on location in the NGVS field, 2 to 4 images are SWarped together. Because the each image is already very calibrated, no additional correction need to be applied. The quality of the photometric scaling, astrometric calibration and background subtraction make the seam hard to detect. This procedure has (so far) only been applied to the merged g002 images. The images are available via the cutout service as well as VOspace. The image names have the pointing scheme (e.g. NGVS+1-3) extended to the half pointing level (e.g. NGVS+1.5-3.5)

The figure at right shows an example of joined images. The left image shows two adjacent square degree pointings in their entirety. The right image shows the centre of the image on the seam between the two images. The seam is not detectable in either image.
joint example




File types
There are four file types:
  • Image (.fits): This is the stacked image. All the images have a photometric zero-point of 30.000 in AB magnitudes. This is to say, if you measure a flux in counts from the image, then:
     
    AB_magnitude = -2.5 * log10(counts) + 30.000
    
    If you need Vega magnitudes, consult the following table:
    FILTER Vega-AB
    MegaCam
    u-0.346
    g+0.092
    r-0.171
    i-0.401
    z-0.554


  • Weight map (.weight.fits): These are are delivered with in a compressed format. To uncompress them, use CFITSIO's imcopy:
    imcopy NGVS+0+0.l.g.Ml128.weight.fits.fz[1] NGVS+0+0.l.g.Ml128.weight.fits
    
    The values of a weight map pixel is the inverse of the variance of that pixel in the main image. The variance here only takes into account the mean sky levels of the input images. The flux from the objects is not taken into account. This is adequate for objects within a few magnitudes of the detection limit.

  • Catalog (.cat.fits): The catalogs are generated with SExtractor using this parameter file. The catalogues have a header describing the columns:
    #   1 NUMBER          Running object number
    #   2 X_IMAGE         Object position along x                         [pixel]
    #   3 Y_IMAGE         Object position along y                         [pixel]
    #   4 ALPHA_J2000     Right ascension of barycenter (J2000)           [deg]
    #   5 DELTA_J2000     Declination of barycenter (J2000)               [deg]
    #   6 MAG_AUTO        Kron-like elliptical aperture magnitude         [mag]
    #   7 MAGERR_AUTO     RMS error for AUTO magnitude                    [mag]
    #   8 MAG_BEST        Best of MAG_AUTO and MAG_ISOCOR                 [mag]
    #   9 MAGERR_BEST     RMS error for MAG_BEST                          [mag]
    #  10 MAG_APER        Fixed aperture magnitude vector                 [mag]
    #  11 MAGERR_APER     RMS error vector for fixed aperture mag.        [mag]
    #  12 A_WORLD         Profile RMS along major axis (world units)      [deg]
    #  13 ERRA_WORLD      World RMS position error along major axis       [pixel]
    #  14 B_WORLD         Profile RMS along minor axis (world units)      [deg]
    #  15 ERRB_WORLD      World RMS position error along minor axis       [pixel]
    #  16 THETA_J2000     Position angle (east of north) (J2000)          [deg]
    #  17 ERRTHETA_J2000  J2000 error ellipse pos. angle (east of north)  [deg]
    #  18 ISOAREA_IMAGE   Isophotal area above Analysis threshold         [pixel**2]
    #  19 MU_MAX          Peak surface brightness above background        [mag * arcsec**(-2)]
    #  20 FLUX_RADIUS     Fraction-of-light radii                         [pixel]
    #  21 FLAGS           Extraction flags
    
    All magnitudes are on the AB system.

  • Sigma map (.sig.fits): These images give 1-sigma error bars for each of the pixels of the main map. They are not inverse variance maps like the weight maps above. These images take into account the increase in Poisson noise caused by sources in the image. While the weight maps are sufficient for objects within a few magnitudes of the detection limit, these images better reflect the true noise in bright sources.


Naming convention
The NGVS files names are in the following format
NGVS+0+0.l.g.Mg001.fits
^        ^ ^ ^^    ^
|        | | ||    |_____ extension indicating file type 
|        | | ||              fits image
|        | | ||              weight.fits weight map
|        | | ||              cat catalog
|        | | ||              sig.fits  detailed sigma map
|        | | ||              see above for details
|        | | ||__________ 4-character string indicating background subtraction
|        | | |               and stacking method:
|        | | |               l128 local background subtraction on 128x128 grid, median combine
|        | | |               g001 global background subtraction, median combine
|        | | |               g003 global Elixir-LSB background subtraction, median combine
|        | | |               g004 global Elixir-LSB background subtraction, artificial skepticism combine
|        | | |               Detailed descriptions can be found above.
|        | | |___________ source of stacks:
|        | |                 M for MegaPipe
|        | |                 E for Elixir
|        | |                 T for Terapix
|        | |_____________ filter: ugriz
|        |_______________ exposure time: l for long, s for short, m for merged
|________________________ NGVS pointing: roughly degrees relative to M87. 
                          0 is denoted with +0, not -0.


A note on gain

The noise properties of a single image can be described by two parameters: the gain and the read noise. Gain is the number of electrons for a given data number of particular image pixel. The read noise is the noise caused by reading out the CCD.

Neither concept is particularly well defined for the stacked MegaPipe output images. However some astronomical software packages require a value for gain and read noise in order to function properly. Therefore the following table gives the effective gain and effective read noise for the image stacks produced by MegaPipe based on the Elixir LSB images. The details of the calculations are given here.

Image Effective
gain
Effective
read noise
Average
sky level
Average
scaling factor
NGVS+0+0.l.g 195 93 1162.9 3.833e-02
NGVS+0+0.l.i 73 109 1606.2 1.027e-01
NGVS+0+0.l.r 185 143 1969.0 5.660e-02
NGVS+0+0.l.u 109 59 241.4 1.350e-01
NGVS+0+0.l.z 61 167 2338.3 1.961e-01
NGVS+0+0.s.g 3.72 12 20.9 2.014e+00
NGVS+0+0.s.i 1.46 15 33.9 5.154e+00
NGVS+0+0.s.r 1.80 12 20.9 4.169e+00
NGVS+0+0.s.u 4.77 11 18.2 1.574e+00
NGVS+0+0.s.z 0.92 18 45.9 8.144e+00
NGVS+0+1.l.g 193 95 1208.9 3.876e-02
NGVS+0+1.l.i 72 106 1506.4 1.036e-01
NGVS+0+1.l.r 201 143 1866.5 5.471e-02
NGVS+0+1.l.u 111 57 230.8 1.333e-01
NGVS+0+1.l.z 61 174 2540.3 1.949e-01
NGVS+0+1.s.g 3.72 13 23.1 2.019e+00
NGVS+0+1.s.i 1.43 16 36.6 5.231e+00
NGVS+0+1.s.r 2.31 16 27.8 4.122e+00
NGVS+0+1.s.u 5.08 11 17.8 1.476e+00
NGVS+0+1.s.z 0.93 22 69.5 8.096e+00
NGVS+0+2.l.g 194 99 1331.3 3.861e-02
NGVS+0+2.l.i 70 118 1870.2 1.065e-01
NGVS+0+2.l.r 163 146 2037.7 6.410e-02
NGVS+0+2.l.u 126 56 192.3 1.300e-01
NGVS+0+2.l.z 56 166 2510.6 1.954e-01
NGVS+0+2.s.g 3.74 12 22.3 2.005e+00
NGVS+0+2.s.i 1.34 26 91.2 5.601e+00
NGVS+0+2.s.r 1.82 13 24.7 4.123e+00
NGVS+0+2.s.u 4.95 12 20.6 1.515e+00
NGVS+0+2.s.z 0.89 24 79.4 8.439e+00
NGVS+0+3.l.g 193 95 1210.6 3.868e-02
NGVS+0+3.l.i 69 121 1958.8 1.080e-01
NGVS+0+3.l.r 52 78 2031.0 5.692e-02
NGVS+0+3.l.u 118 62 248.7 1.321e-01
NGVS+0+3.l.z 56 166 2490.1 1.963e-01
NGVS+0+3.s.g 3.74 15 32.7 2.005e+00
NGVS+0+3.s.i 1.38 24 78.9 5.445e+00
NGVS+0+3.s.z 0.89 25 86.6 8.458e+00
NGVS+0+4.l.g 190 100 1335.0 3.927e-02
NGVS+0+4.l.i 69 117 1828.7 1.076e-01
NGVS+0+4.l.u 130 62 238.7 1.262e-01
NGVS+0+4.l.z 55 201 3648.1 1.987e-01
NGVS+0+4.s.g 3.58 14 27.8 2.096e+00
NGVS+0+4.s.u 4.40 09 13.2 1.704e+00
NGVS+0+4.s.z 0.89 24 83.2 8.412e+00
NGVS+0+5.l.g 183 95 1210.6 4.077e-02
NGVS+0+5.l.i 67 113 1706.0 1.112e-01
NGVS+0+5.l.u 106 58 226.6 1.410e-01
NGVS+0+5.l.z 55 201 3388.0 2.159e-01
NGVS+0+5.s.g 3.47 24 79.3 2.163e+00
NGVS+0+5.s.i 1.37 16 37.3 5.473e+00
NGVS+0+5.s.u 4.82 10 16.0 1.556e+00
NGVS+0+5.s.z 0.90 30 121.7 8.319e+00
NGVS+0+6.l.g 179 91 1110.7 4.179e-02
NGVS+0+6.l.i 72 121 1962.3 1.031e-01
NGVS+0+6.l.u 94 54 223.8 1.432e-01
NGVS+0+6.l.z 56 185 3267.9 1.875e-01
NGVS+0+6.s.g 3.59 16 35.5 2.091e+00
NGVS+0+6.s.z 0.91 24 81.9 8.245e+00
NGVS+0-1.l.g 195 98 1285.1 3.839e-02
NGVS+0-1.l.i 71 117 1829.6 1.045e-01
NGVS+0-1.l.r 103 122 2498.5 5.787e-02
NGVS+0-1.l.u 123 57 199.1 1.340e-01
NGVS+0-1.l.z 50 168 2869.6 1.969e-01
NGVS+0-1.s.g 3.50 15 31.4 2.141e+00
NGVS+0-1.s.i 1.36 13 24.5 5.532e+00
NGVS+0-1.s.u 4.71 12 21.6 1.592e+00
NGVS+0-1.s.z 0.87 30 120.7 8.665e+00
NGVS+0-2.l.g 196 105 1495.4 3.816e-02
NGVS+0-2.l.i 71 122 2017.0 1.051e-01
NGVS+0-2.l.r 92 103 1802.5 6.488e-02
NGVS+0-2.l.u 124 63 243.1 1.322e-01
NGVS+0-2.l.z 53 181 3150.6 1.958e-01
NGVS+0-2.s.g 3.71 14 27.2 2.019e+00
NGVS+0-2.s.u 4.86 12 20.2 1.542e+00
NGVS+0-2.s.z 0.90 19 51.0 8.363e+00
NGVS+0-3.l.g 196 88 1047.6 3.817e-02
NGVS+0-3.l.i 72 110 1635.2 1.035e-01
NGVS+0-3.l.u 121 62 237.5 1.357e-01
NGVS+0-3.l.z 56 188 3205.1 1.973e-01
NGVS+0-3.s.g 3.65 13 26.1 2.056e+00
NGVS+0-3.s.i 1.35 19 52.4 5.555e+00
NGVS+0-3.s.u 4.86 11 18.4 1.543e+00
NGVS+0-3.s.z 0.90 19 52.7 8.343e+00
NGVS+0-4.l.g 199 87 1028.8 3.754e-02
NGVS+0-4.l.i 71 115 1768.2 1.042e-01
NGVS+0-4.l.r 164 141 1909.0 6.374e-02
NGVS+0-4.l.u 125 60 224.5 1.312e-01
NGVS+0-4.l.z 62 179 2693.5 1.906e-01
NGVS+0-4.s.g 3.44 13 24.0 2.182e+00
NGVS+0-4.s.i 1.35 19 48.8 5.558e+00
NGVS+0-4.s.u 4.68 15 30.1 1.603e+00
NGVS+0-4.s.z 0.94 20 55.9 7.974e+00
NGVS+0-5.l.g 201 90 1094.2 3.728e-02
NGVS+0-5.l.i 72 117 1846.1 1.035e-01
NGVS+0-5.l.r 110 164 2570.1 9.531e-02
NGVS+0-5.l.u 127 61 230.2 1.299e-01
NGVS+0-5.l.z 57 171 2651.2 1.916e-01
NGVS+0-5.s.g 3.64 13 25.7 2.061e+00
NGVS+0-5.s.u 4.58 13 24.8 1.637e+00
NGVS+0-5.s.z 0.94 21 60.4 7.999e+00
NGVS+0-6.l.g 192 103 1435.2 3.903e-02
NGVS+0-6.l.i 70 107 1536.9 1.058e-01
NGVS+0-6.l.u 134 73 298.4 1.335e-01
NGVS+0-6.l.z 53 190 3266.3 2.082e-01
NGVS+0-6.s.g 3.59 14 27.3 2.090e+00
NGVS+0-6.s.u 4.75 24 82.4 1.577e+00
NGVS+0-6.s.z 0.91 30 126.9 8.238e+00
NGVS+0-7.l.g 179 92 1132.0 4.171e-02
NGVS+0-7.l.i 72 130 2287.2 1.034e-01
NGVS+0-7.l.u 116 64 254.2 1.422e-01
NGVS+0-7.l.z 55 157 2364.1 1.909e-01
NGVS+0-7.s.g 3.55 18 45.1 2.114e+00
NGVS+0-7.s.z 0.92 41 232.1 8.129e+00
NGVS+1+0.l.g 187 103 1420.9 3.992e-02
NGVS+1+0.l.i 69 123 2044.9 1.077e-01
NGVS+1+0.l.r 41 102 1766.3 1.456e-01
NGVS+1+0.l.u 126 56 190.9 1.300e-01
NGVS+1+0.l.z 55 160 2380.2 1.952e-01
NGVS+1+0.s.g 3.56 13 24.8 2.108e+00
NGVS+1+0.s.i 1.39 25 89.6 5.388e+00
NGVS+1+0.s.u 4.84 12 21.3 1.550e+00
NGVS+1+0.s.z 0.87 29 114.1 8.608e+00
NGVS+1+1.l.g 190 101 1379.4 3.928e-02
NGVS+1+1.l.i 70 120 1943.1 1.061e-01
NGVS+1+1.l.u 120 56 198.0 1.320e-01
NGVS+1+1.l.z 56 164 2478.6 1.936e-01
NGVS+1+1.s.g 3.64 11 19.0 2.062e+00
NGVS+1+1.s.i 1.38 20 55.6 5.442e+00
NGVS+1+1.s.u 4.84 12 20.9 1.551e+00
NGVS+1+1.s.z 0.89 25 86.5 8.424e+00
NGVS+1+2.l.g 194 99 1310.5 3.857e-02
NGVS+1+2.l.i 70 121 1967.7 1.070e-01
NGVS+1+2.l.u 129 55 189.9 1.276e-01
NGVS+1+2.l.z 56 168 2602.4 1.940e-01
NGVS+1+2.s.g 3.75 13 24.5 1.998e+00
NGVS+1+2.s.i 1.35 26 92.0 5.543e+00
NGVS+1+2.s.u 5.07 12 20.4 1.480e+00
NGVS+1+2.s.z 0.89 24 80.7 8.438e+00
NGVS+1+3.l.g 189 102 1389.0 3.960e-02
NGVS+1+3.l.i 69 131 2290.6 1.075e-01
NGVS+1+3.l.u 131 63 244.9 1.254e-01
NGVS+1+3.l.z 62 194 3149.2 1.933e-01
NGVS+1+3.s.g 3.60 14 26.2 2.081e+00
NGVS+1+3.s.i 1.38 16 35.3 5.425e+00
NGVS+1+3.s.z 0.90 18 46.0 8.347e+00
NGVS+1+4.l.g 190 99 1318.8 3.929e-02
NGVS+1+4.l.i 70 117 1841.0 1.064e-01
NGVS+1+4.l.u 122 61 225.6 1.347e-01
NGVS+1+4.l.z 60 214 3848.8 1.977e-01
NGVS+1+4.s.g 3.57 14 27.5 2.098e+00
NGVS+1+4.s.u 4.48 09 13.2 1.676e+00
NGVS+1+4.s.z 0.89 25 89.0 8.418e+00
NGVS+1+5.l.g 182 95 1227.4 4.106e-02
NGVS+1+5.l.i 67 119 1905.0 1.116e-01
NGVS+1+5.l.u 96 55 226.7 1.401e-01
NGVS+1+5.l.z 56 202 3413.0 2.127e-01
NGVS+1+5.s.g 3.42 35 164.5 2.192e+00
NGVS+1+5.s.z 0.89 29 119.7 8.384e+00
NGVS+1-1.l.g 195 98 1290.5 3.838e-02
NGVS+1-1.l.i 72 118 1880.5 1.036e-01
NGVS+1-1.l.r 55 116 1806.4 1.344e-01
NGVS+1-1.l.u 125 57 197.7 1.316e-01
NGVS+1-1.l.z 50 165 2784.1 1.960e-01
NGVS+1-1.s.g 3.50 14 29.7 2.142e+00
NGVS+1-1.s.i 1.36 19 50.1 5.534e+00
NGVS+1-1.s.u 4.70 12 21.6 1.594e+00
NGVS+1-1.s.z 0.87 29 119.3 8.584e+00
NGVS+1-2.l.g 194 104 1461.8 3.859e-02
NGVS+1-2.l.i 70 127 2162.7 1.061e-01
NGVS+1-2.l.r 111 115 1775.4 6.705e-02
NGVS+1-2.l.u 122 62 238.7 1.348e-01
NGVS+1-2.l.z 62 169 2391.8 1.932e-01
NGVS+1-2.s.g 2.94 09 15.9 2.040e+00
NGVS+1-2.s.u 4.79 12 21.9 1.565e+00
NGVS+1-2.s.z 0.87 31 132.9 8.581e+00
NGVS+1-3.l.g 195 90 1093.4 3.845e-02
NGVS+1-3.l.i 71 110 1628.6 1.047e-01
NGVS+1-3.l.u 133 73 300.1 1.352e-01
NGVS+1-3.l.z 56 193 3365.0 1.979e-01
NGVS+1-3.s.g 3.64 14 27.7 2.062e+00
NGVS+1-3.s.i 1.35 19 48.8 5.564e+00
NGVS+1-3.s.z 0.86 30 126.7 8.753e+00
NGVS+1-4.l.g 199 88 1045.6 3.763e-02
NGVS+1-4.l.i 72 116 1817.4 1.029e-01
NGVS+1-4.l.r 169 144 2001.9 6.194e-02
NGVS+1-4.l.u 130 74 309.3 1.377e-01
NGVS+1-4.l.z 55 163 2553.4 1.898e-01
NGVS+1-4.s.g 3.45 14 29.4 2.176e+00
NGVS+1-4.s.i 1.35 19 52.0 5.538e+00
NGVS+1-4.s.z 0.93 20 55.4 8.071e+00
NGVS+1-5.l.g 201 89 1072.2 3.728e-02
NGVS+1-5.l.i 71 110 1629.4 1.053e-01
NGVS+1-5.l.r 79 99 2215.3 5.650e-02
NGVS+1-5.l.u 136 74 309.1 1.322e-01
NGVS+1-5.l.z 55 168 2717.1 1.892e-01
NGVS+1-5.s.g 3.63 14 26.6 2.067e+00
NGVS+1-5.s.i 1.37 19 49.8 5.487e+00
NGVS+1-5.s.z 0.94 21 59.8 7.953e+00
NGVS+1-6.l.g 194 101 1364.3 3.863e-02
NGVS+1-6.l.i 70 100 1354.7 1.059e-01
NGVS+1-6.l.u 134 74 304.5 1.338e-01
NGVS+1-6.l.z 53 187 3159.2 2.083e-01
NGVS+1-6.s.g 3.56 14 27.2 2.105e+00
NGVS+1-6.s.i 1.36 18 46.7 5.519e+00
NGVS+1-6.s.u 4.61 17 39.8 1.626e+00
NGVS+1-6.s.z 0.91 30 122.3 8.272e+00
NGVS+1-7.l.g 179 91 1113.6 4.173e-02
NGVS+1-7.l.i 71 130 2260.9 1.042e-01
NGVS+1-7.l.u 115 64 251.4 1.424e-01
NGVS+1-7.l.z 63 170 2431.9 1.904e-01
NGVS+1-7.s.g 3.54 17 42.8 2.119e+00
NGVS+1-7.s.z 0.92 33 147.9 8.151e+00
NGVS+2+0.l.g 196 97 1257.6 3.812e-02
NGVS+2+0.l.i 72 118 1879.6 1.035e-01
NGVS+2+0.l.r 63 118 2342.0 9.471e-02
NGVS+2+0.l.u 126 56 190.7 1.309e-01
NGVS+2+0.l.z 49 149 2315.9 1.966e-01
NGVS+2+0.s.g 3.64 14 28.6 2.062e+00
NGVS+2+0.s.i 1.37 15 33.7 5.473e+00
NGVS+2+0.s.u 4.80 12 21.5 1.561e+00
NGVS+2+0.s.z 0.86 29 113.6 8.721e+00
NGVS+2+1.l.g 190 99 1326.4 3.930e-02
NGVS+2+1.l.i 70 118 1883.3 1.061e-01
NGVS+2+1.l.u 112 64 253.0 1.472e-01
NGVS+2+1.l.z 61 173 2513.2 1.944e-01
NGVS+2+1.s.g 3.61 13 22.8 2.079e+00
NGVS+2+1.s.i 1.38 20 55.6 5.452e+00
NGVS+2+1.s.z 0.88 21 60.5 8.524e+00
NGVS+2+2.l.g 188 101 1376.6 3.986e-02
NGVS+2+2.l.i 69 125 2087.8 1.076e-01
NGVS+2+2.l.u 113 64 255.1 1.454e-01
NGVS+2+2.l.z 56 184 3080.5 1.966e-01
NGVS+2+2.s.g 3.65 15 30.2 2.053e+00
NGVS+2+2.s.z 0.89 17 40.6 8.405e+00
NGVS+2+3.l.g 185 102 1411.6 4.040e-02
NGVS+2+3.l.i 68 130 2273.5 1.087e-01
NGVS+2+3.l.u 129 63 244.2 1.275e-01
NGVS+2+3.l.z 60 194 3147.4 1.989e-01
NGVS+2+3.s.g 3.57 13 24.3 2.099e+00
NGVS+2+3.s.z 0.89 18 45.5 8.450e+00
NGVS+2+4.l.g 187 98 1289.7 3.998e-02
NGVS+2+4.l.i 69 116 1808.0 1.073e-01
NGVS+2+4.l.u 122 60 221.3 1.349e-01
NGVS+2+4.l.z 55 205 3809.3 1.999e-01
NGVS+2+4.s.g 3.54 14 27.6 2.121e+00
NGVS+2+4.s.u 4.55 12 20.3 1.648e+00
NGVS+2+4.s.z 0.88 26 91.6 8.568e+00
NGVS+2+5.l.g 184 96 1247.7 4.069e-02
NGVS+2+5.l.i 67 113 1715.0 1.112e-01
NGVS+2+5.l.u 97 57 244.0 1.388e-01
NGVS+2+5.l.z 51 194 3409.8 2.140e-01
NGVS+2+5.s.g 3.45 30 125.5 2.174e+00
NGVS+2+5.s.z 0.91 24 80.7 8.253e+00
NGVS+2-1.l.g 194 98 1286.4 3.849e-02
NGVS+2-1.l.i 72 117 1851.1 1.039e-01
NGVS+2-1.l.r 57 106 1880.5 1.040e-01
NGVS+2-1.l.u 122 61 229.6 1.342e-01
NGVS+2-1.l.z 61 176 2598.0 1.941e-01
NGVS+2-1.s.g 3.49 15 30.4 2.148e+00
NGVS+2-1.s.i 1.36 19 50.7 5.532e+00
NGVS+2-1.s.u 4.66 12 20.8 1.609e+00
NGVS+2-1.s.z 0.89 25 85.0 8.423e+00
NGVS+2-2.l.g 186 110 1616.9 4.015e-02
NGVS+2-2.l.i 69 125 2085.1 1.082e-01
NGVS+2-2.l.u 122 66 265.2 1.350e-01
NGVS+2-2.l.z 58 183 2947.9 1.950e-01
NGVS+2-2.s.g 3.61 22 68.8 2.080e+00
NGVS+2-2.s.i 1.36 19 49.4 5.527e+00
NGVS+2-2.s.u 3.86 17 52.3 1.556e+00
NGVS+2-2.s.z 0.87 33 153.8 8.653e+00
NGVS+2-3.l.g 188 112 1698.5 3.988e-02
NGVS+2-3.l.i 68 139 2580.4 1.093e-01
NGVS+2-3.l.u 131 73 302.4 1.364e-01
NGVS+2-3.l.z 51 164 2479.2 2.099e-01
NGVS+2-3.s.g 3.44 15 30.6 2.179e+00
NGVS+2-3.s.z 0.87 26 92.7 8.625e+00
NGVS+2-4.l.g 189 107 1552.8 3.967e-02
NGVS+2-4.l.i 68 140 2618.4 1.089e-01
NGVS+2-4.l.u 114 65 257.5 1.435e-01
NGVS+2-4.l.z 52 157 2294.9 2.078e-01
NGVS+2-4.s.g 3.45 15 31.2 2.171e+00
NGVS+2-4.s.z 0.88 26 96.8 8.544e+00
NGVS+2-5.l.g 191 109 1609.1 3.921e-02
NGVS+2-5.l.i 69 132 2341.9 1.079e-01
NGVS+2-5.l.u 115 67 275.4 1.427e-01
NGVS+2-5.l.z 52 159 2344.2 2.076e-01
NGVS+2-5.s.g 3.61 13 23.3 2.076e+00
NGVS+2-5.s.z 0.87 24 80.9 8.581e+00
NGVS+2-6.l.g 194 102 1397.7 3.860e-02
NGVS+2-6.l.i 71 97 1257.2 1.055e-01
NGVS+2-6.l.u 117 68 286.1 1.409e-01
NGVS+2-6.l.z 58 188 3211.1 1.893e-01
NGVS+2-6.s.g 3.57 14 28.4 2.102e+00
NGVS+2-6.s.z 0.91 24 83.1 8.197e+00
NGVS+3+0.l.g 196 96 1242.6 3.823e-02
NGVS+3+0.l.i 72 117 1846.9 1.039e-01
NGVS+3+0.l.r 133 143 1963.9 7.847e-02
NGVS+3+0.l.u 127 59 217.7 1.298e-01
NGVS+3+0.l.z 56 175 2792.7 1.975e-01
NGVS+3+0.s.g 3.64 14 29.9 2.061e+00
NGVS+3+0.s.i 1.38 38 196.2 5.446e+00
NGVS+3+0.s.u 5.04 10 15.5 1.487e+00
NGVS+3+0.s.z 0.88 25 84.8 8.481e+00
NGVS+3+1.l.g 190 99 1323.2 3.930e-02
NGVS+3+1.l.i 70 118 1866.4 1.060e-01
NGVS+3+1.l.u 110 65 257.4 1.494e-01
NGVS+3+1.l.z 61 188 2959.4 1.960e-01
NGVS+3+1.s.g 3.67 13 24.0 2.046e+00
NGVS+3+1.s.i 1.38 20 56.9 5.424e+00
NGVS+3+1.s.z 0.93 21 62.8 8.056e+00
NGVS+3+2.l.g 189 100 1355.4 3.963e-02
NGVS+3+2.l.i 69 116 1817.7 1.077e-01
NGVS+3+2.l.u 115 65 258.4 1.428e-01
NGVS+3+2.l.z 52 200 3834.2 2.014e-01
NGVS+3+2.s.g 3.55 14 28.8 2.111e+00
NGVS+3+2.s.i 1.39 16 36.6 5.408e+00
NGVS+3+2.s.z 0.87 26 97.0 8.575e+00
NGVS+3+3.l.g 189 98 1301.3 3.950e-02
NGVS+3+3.l.i 69 112 1698.0 1.079e-01
NGVS+3+3.l.u 131 63 240.8 1.255e-01
NGVS+3+3.l.z 52 193 3563.3 1.995e-01
NGVS+3+3.s.g 3.59 13 25.6 2.088e+00
NGVS+3+3.s.z 0.88 26 95.4 8.514e+00
NGVS+3+4.l.g 189 98 1292.6 3.958e-02
NGVS+3+4.l.i 69 116 1798.4 1.074e-01
NGVS+3+4.l.u 122 60 224.7 1.349e-01
NGVS+3+4.l.z 52 202 3895.8 1.996e-01
NGVS+3+4.s.g 3.55 14 27.9 2.113e+00
NGVS+3+4.s.u 4.55 12 20.6 1.649e+00
NGVS+3+4.s.z 0.87 26 93.1 8.578e+00
NGVS+3+5.l.g 183 95 1210.7 4.077e-02
NGVS+3+5.l.i 67 118 1886.2 1.115e-01
NGVS+3+5.l.u 96 57 243.5 1.395e-01
NGVS+3+5.l.z 56 205 3523.3 2.142e-01
NGVS+3+5.s.g 3.52 12 20.6 2.133e+00
NGVS+3+5.s.z 0.91 24 80.6 8.224e+00
NGVS+3-1.l.g 195 98 1290.2 3.845e-02
NGVS+3-1.l.i 72 116 1808.4 1.041e-01
NGVS+3-1.l.r 112 148 2455.0 7.976e-02
NGVS+3-1.l.u 126 60 219.3 1.302e-01
NGVS+3-1.l.z 60 190 3014.8 1.969e-01
NGVS+3-1.s.g 3.49 15 30.0 2.146e+00
NGVS+3-1.s.i 1.35 19 50.3 5.550e+00
NGVS+3-1.s.u 5.03 11 16.4 1.490e+00
NGVS+3-1.s.z 0.89 25 85.6 8.420e+00
NGVS+3-2.l.g 192 93 1164.0 3.901e-02
NGVS+3-2.l.i 69 110 1613.7 1.079e-01
NGVS+3-2.l.u 118 65 259.2 1.398e-01
NGVS+3-2.l.z 60 201 3381.8 1.983e-01
NGVS+3-2.s.g 3.47 14 29.5 2.159e+00
NGVS+3-2.s.z 0.88 25 88.6 8.555e+00
NGVS+3-3.l.g 190 93 1170.4 3.942e-02
NGVS+3-3.l.i 68 115 1781.4 1.090e-01
NGVS+3-3.l.u 116 63 243.5 1.419e-01
NGVS+3-3.l.z 55 201 3681.2 2.001e-01
NGVS+3-3.s.g 3.44 15 31.8 2.181e+00
NGVS+3-3.s.z 0.87 26 95.7 8.581e+00
NGVS+3-4.l.g 193 103 1430.8 3.885e-02
NGVS+3-4.l.i 70 109 1602.4 1.060e-01
NGVS+3-4.l.u 115 65 257.4 1.426e-01
NGVS+3-4.l.z 65 188 3219.6 1.706e-01
NGVS+3-4.s.g 3.45 15 31.3 2.177e+00
NGVS+3-4.s.z 0.94 27 102.3 7.964e+00
NGVS+4+0.l.g 185 98 1285.6 4.041e-02
NGVS+4+0.l.i 68 130 2262.5 1.093e-01
NGVS+4+0.l.u 131 64 232.4 1.369e-01
NGVS+4+0.l.z 55 162 2524.4 1.893e-01
NGVS+4+0.s.g 3.52 14 28.2 2.133e+00
NGVS+4+0.s.i 1.36 16 37.8 5.525e+00
NGVS+4+0.s.z 0.94 27 100.3 7.958e+00
NGVS+4+1.l.g 185 98 1299.2 4.040e-02
NGVS+4+1.l.i 69 130 2276.2 1.080e-01
NGVS+4+1.l.u 109 66 265.0 1.504e-01
NGVS+4+1.l.z 62 185 2857.4 1.909e-01
NGVS+4+1.s.g 3.54 14 27.9 2.118e+00
NGVS+4+1.s.z 0.93 28 108.0 8.026e+00
NGVS+4+2.l.g 186 99 1326.0 4.012e-02
NGVS+4+2.l.i 67 134 2402.7 1.104e-01
NGVS+4+2.l.u 113 65 257.2 1.455e-01
NGVS+4+2.l.z 54 175 2941.4 1.926e-01
NGVS+4+2.s.g 3.57 14 28.7 2.101e+00
NGVS+4+2.s.z 0.92 28 105.5 8.109e+00
NGVS+4+3.l.g 187 98 1285.8 4.004e-02
NGVS+4+3.l.i 66 133 2370.6 1.125e-01
NGVS+4+3.l.u 110 66 266.9 1.496e-01
NGVS+4+3.l.z 54 174 2914.5 1.938e-01
NGVS+4+3.s.g 3.51 15 30.0 2.136e+00
NGVS+4+3.s.z 0.93 26 97.2 8.025e+00
NGVS+4+4.l.g 188 97 1267.8 3.988e-02
NGVS+4+4.l.i 67 132 2351.1 1.103e-01
NGVS+4+4.l.u 95 57 240.8 1.410e-01
NGVS+4+4.l.z 54 178 3032.0 1.919e-01
NGVS+4+4.s.g 3.52 14 28.6 2.129e+00
NGVS+4+4.s.z 0.91 25 83.4 8.228e+00
NGVS+4-1.l.g 186 98 1301.3 4.029e-02
NGVS+4-1.l.i 67 134 2399.0 1.106e-01
NGVS+4-1.l.u 130 64 228.4 1.374e-01
NGVS+4-1.l.z 55 158 2381.7 1.891e-01
NGVS+4-1.s.g 3.51 14 29.7 2.136e+00
NGVS+4-1.s.i 1.36 19 50.9 5.531e+00
NGVS+4-1.s.z 0.94 27 98.4 7.996e+00
NGVS+4-2.l.g 184 100 1340.4 4.063e-02
NGVS+4-2.l.i 67 132 2342.5 1.108e-01
NGVS+4-2.l.u 118 62 236.7 1.391e-01
NGVS+4-2.l.z 56 155 2299.5 1.859e-01
NGVS+4-2.s.g 3.49 14 29.7 2.151e+00
NGVS+4-2.s.z 0.94 27 101.2 7.996e+00
NGVS+4-3.l.g 179 95 1220.8 4.176e-02
NGVS+4-3.l.i 72 129 2251.7 1.039e-01
NGVS+4-3.l.r 52 95 3054.5 5.731e-02
NGVS+4-3.l.u 104 63 266.1 1.436e-01
NGVS+4-3.l.z 55 190 3471.2 1.881e-01
NGVS+4-3.s.g 3.56 16 37.7 2.109e+00
NGVS+4-3.s.z 0.93 27 98.8 8.042e+00
NGVS+5+0.l.g 177 96 1238.6 4.218e-02
NGVS+5+0.l.i 72 129 2225.4 1.036e-01
NGVS+5+0.l.u 94 58 256.7 1.426e-01
NGVS+5+0.l.z 55 185 3284.3 1.876e-01
NGVS+5+0.s.g 3.55 17 40.9 2.110e+00
NGVS+5+0.s.i 1.37 16 35.2 5.493e+00
NGVS+5+0.s.z 0.93 28 110.1 8.072e+00
NGVS+5+1.l.g 179 93 1165.5 4.181e-02
NGVS+5+1.l.i 72 129 2223.7 1.034e-01
NGVS+5+1.l.u 94 58 256.4 1.422e-01
NGVS+5+1.l.z 56 186 3299.9 1.858e-01
NGVS+5+1.s.g 3.61 16 38.1 2.079e+00
NGVS+5+1.s.z 0.94 28 108.4 8.020e+00
NGVS+5+2.l.g 179 93 1163.9 4.180e-02
NGVS+5+2.l.i 72 126 2144.8 1.030e-01
NGVS+5+2.l.u 95 57 241.5 1.417e-01
NGVS+5+2.l.z 55 185 3271.7 1.883e-01
NGVS+5+2.s.g 3.56 16 35.3 2.108e+00
NGVS+5+2.s.z 0.92 29 116.1 8.176e+00
NGVS+5-1.l.g 151 85 1163.2 4.148e-02
NGVS+5-1.l.i 72 125 2084.0 1.028e-01
NGVS+5-1.l.u 94 58 253.4 1.429e-01
NGVS+5-1.l.z 56 192 3540.6 1.875e-01
NGVS+5-1.s.g 3.55 16 37.0 2.115e+00
NGVS+5-1.s.i 1.35 19 50.7 5.536e+00
NGVS+5-1.s.z 0.93 28 106.0 8.050e+00
NGVS-1+0.l.g 195 94 1182.4 3.841e-02
NGVS-1+0.l.i 72 110 1625.8 1.040e-01
NGVS-1+0.l.r 184 134 1735.3 5.689e-02
NGVS-1+0.l.u 113 61 256.4 1.299e-01
NGVS-1+0.l.z 60 222 4197.8 1.984e-01
NGVS-1+0.s.g 3.68 12 22.5 2.040e+00
NGVS-1+0.s.i 1.42 15 34.0 5.282e+00
NGVS-1+0.s.r 1.74 13 23.2 4.306e+00
NGVS-1+0.s.u 5.19 13 26.1 1.445e+00
NGVS-1+0.s.z 0.89 31 132.6 8.447e+00
NGVS-1+1.l.g 196 93 1154.7 3.809e-02
NGVS-1+1.l.i 73 115 1781.8 1.025e-01
NGVS-1+1.l.r 186 131 1645.9 5.621e-02
NGVS-1+1.l.u 114 57 221.6 1.320e-01
NGVS-1+1.l.z 62 176 2599.6 1.935e-01
NGVS-1+1.s.g 3.75 12 21.4 2.002e+00
NGVS-1+1.s.i 1.47 17 40.8 5.117e+00
NGVS-1+1.s.r 1.74 12 21.5 4.322e+00
NGVS-1+1.s.u 5.42 12 18.2 1.570e+00
NGVS-1+1.s.z 0.93 17 42.8 8.022e+00
NGVS-1+2.l.g 192 96 1231.9 3.903e-02
NGVS-1+2.l.i 69 130 2275.4 1.084e-01
NGVS-1+2.l.r 163 143 1956.0 6.441e-02
NGVS-1+2.l.u 125 54 181.9 1.315e-01
NGVS-1+2.l.z 57 152 2041.4 1.971e-01
NGVS-1+2.s.g 3.75 11 19.2 2.002e+00
NGVS-1+2.s.i 1.34 26 92.1 5.606e+00
NGVS-1+2.s.r 1.83 14 27.0 4.097e+00
NGVS-1+2.s.u 5.04 12 19.3 1.488e+00
NGVS-1+2.s.z 0.89 24 78.0 8.461e+00
NGVS-1+3.l.g 192 97 1256.4 3.895e-02
NGVS-1+3.l.i 68 121 1970.2 1.088e-01
NGVS-1+3.l.u 113 60 219.3 1.453e-01
NGVS-1+3.l.z 56 170 2618.9 1.960e-01
NGVS-1+3.s.g 3.71 13 24.1 2.019e+00
NGVS-1+3.s.i 1.38 22 64.8 5.449e+00
NGVS-1+3.s.z 0.86 29 114.8 8.693e+00
NGVS-1+4.l.g 191 96 1239.0 3.919e-02
NGVS-1+4.l.i 69 126 2126.9 1.084e-01
NGVS-1+4.l.u 130 62 240.1 1.264e-01
NGVS-1+4.l.z 61 178 2643.3 1.958e-01
NGVS-1+4.s.g 3.75 12 20.1 1.998e+00
NGVS-1+4.s.i 1.38 20 57.0 5.450e+00
NGVS-1+4.s.u 4.37 10 13.5 1.716e+00
NGVS-1+4.s.z 0.90 26 92.4 8.349e+00
NGVS-1+5.l.g 182 94 1189.0 4.108e-02
NGVS-1+5.l.i 67 119 1895.6 1.118e-01
NGVS-1+5.l.u 95 55 227.6 1.415e-01
NGVS-1+5.l.z 51 194 3415.7 2.160e-01
NGVS-1+5.s.g 3.57 16 37.3 2.100e+00
NGVS-1+5.s.i 1.37 16 36.8 5.462e+00
NGVS-1+5.s.u 4.79 10 14.6 1.566e+00
NGVS-1+5.s.z 0.91 24 82.5 8.268e+00
NGVS-1-1.l.g 198 106 1523.8 3.785e-02
NGVS-1-1.l.i 71 123 2019.4 1.052e-01
NGVS-1-1.l.r 66 100 2239.0 6.763e-02
NGVS-1-1.l.u 120 56 193.4 1.366e-01
NGVS-1-1.l.z 53 148 2097.6 1.965e-01
NGVS-1-1.s.g 3.52 15 31.9 2.131e+00
NGVS-1-1.s.i 1.37 13 25.3 5.476e+00
NGVS-1-1.s.u 4.90 12 20.6 1.530e+00
NGVS-1-1.s.z 0.90 19 52.7 8.366e+00
NGVS-1-2.l.g 191 95 1213.9 3.913e-02
NGVS-1-2.l.i 71 126 2138.9 1.045e-01
NGVS-1-2.l.u 117 62 243.7 1.348e-01
NGVS-1-2.l.z 56 166 2512.0 1.949e-01
NGVS-1-2.s.g 3.53 13 24.8 2.123e+00
NGVS-1-2.s.i 1.36 18 47.7 5.512e+00
NGVS-1-2.s.u 4.86 12 20.0 1.543e+00
NGVS-1-2.s.z 0.87 29 115.3 8.610e+00
NGVS-1-3.l.g 190 97 1255.5 3.932e-02
NGVS-1-3.l.i 71 128 2199.6 1.051e-01
NGVS-1-3.l.u 122 62 237.9 1.343e-01
NGVS-1-3.l.z 53 187 3363.6 1.977e-01
NGVS-1-3.s.g 3.65 14 28.5 2.052e+00
NGVS-1-3.s.i 1.36 18 48.0 5.527e+00
NGVS-1-3.s.u 4.86 12 20.5 1.544e+00
NGVS-1-3.s.z 0.90 19 51.8 8.344e+00
NGVS-1-4.l.g 199 88 1051.2 3.758e-02
NGVS-1-4.l.i 71 113 1704.2 1.045e-01
NGVS-1-4.l.r 161 140 1891.3 6.507e-02
NGVS-1-4.l.u 126 61 229.4 1.308e-01
NGVS-1-4.l.z 51 165 2779.8 1.909e-01
NGVS-1-4.s.g 3.34 14 27.8 2.244e+00
NGVS-1-4.s.i 1.35 19 49.2 5.545e+00
NGVS-1-4.s.u 4.79 10 15.7 1.566e+00
NGVS-1-4.s.z 0.94 20 57.2 7.993e+00
NGVS-1-5.l.g 191 98 1304.1 3.913e-02
NGVS-1-5.l.i 71 125 2093.1 1.042e-01
NGVS-1-5.l.r 52 92 2871.5 5.688e-02
NGVS-1-5.l.u 126 60 220.0 1.304e-01
NGVS-1-5.l.z 58 171 2647.9 1.902e-01
NGVS-1-5.s.g 3.57 16 35.9 2.101e+00
NGVS-1-5.s.u 4.60 12 21.2 1.630e+00
NGVS-1-5.s.z 0.94 20 56.2 7.985e+00
NGVS-1-6.l.g 191 103 1425.9 3.909e-02
NGVS-1-6.l.i 70 107 1553.8 1.058e-01
NGVS-1-6.l.u 136 76 324.5 1.319e-01
NGVS-1-6.l.z 60 204 3757.7 1.846e-01
NGVS-1-6.s.g 3.57 14 26.6 2.104e+00
NGVS-1-6.s.u 4.58 25 86.0 1.638e+00
NGVS-1-6.s.z 0.92 35 163.8 8.159e+00
NGVS-1-7.l.g 180 91 1113.1 4.154e-02
NGVS-1-7.l.i 72 131 2297.2 1.036e-01
NGVS-1-7.l.u 104 65 286.8 1.431e-01
NGVS-1-7.l.z 54 155 2315.9 1.909e-01
NGVS-1-7.s.g 3.58 18 47.2 2.096e+00
NGVS-1-7.s.z 0.90 30 125.8 8.306e+00
NGVS-2+0.l.g 194 97 1254.7 3.851e-02
NGVS-2+0.l.i 69 162 3526.9 1.078e-01
NGVS-2+0.l.r 138 134 2011.2 6.488e-02
NGVS-2+0.l.u 123 56 190.6 1.332e-01
NGVS-2+0.l.z 52 151 2189.5 2.005e-01
NGVS-2+0.s.g 3.49 13 24.5 2.146e+00
NGVS-2+0.s.i 1.36 17 42.8 5.528e+00
NGVS-2+0.s.u 4.87 12 20.9 1.539e+00
NGVS-2+0.s.z 0.88 19 49.4 8.521e+00
NGVS-2+1.l.g 196 97 1266.6 3.813e-02
NGVS-2+1.l.i 68 129 2250.3 1.089e-01
NGVS-2+1.l.r 138 134 2012.3 6.507e-02
NGVS-2+1.l.u 123 55 188.9 1.338e-01
NGVS-2+1.l.z 53 151 2182.1 1.972e-01
NGVS-2+1.s.g 3.69 12 22.2 2.034e+00
NGVS-2+1.s.i 1.38 18 45.4 5.422e+00
NGVS-2+1.s.u 4.91 16 35.1 1.526e+00
NGVS-2+1.s.z 0.88 25 85.7 8.522e+00
NGVS-2+2.l.g 197 96 1229.8 3.794e-02
NGVS-2+2.l.i 70 142 2714.8 1.061e-01
NGVS-2+2.l.r 52 77 1999.5 5.711e-02
NGVS-2+2.l.u 124 55 183.8 1.324e-01
NGVS-2+2.l.z 57 152 2031.3 1.977e-01
NGVS-2+2.s.g 3.74 13 22.8 2.007e+00
NGVS-2+2.s.i 1.36 26 93.1 5.516e+00
NGVS-2+2.s.u 5.07 10 15.0 1.479e+00
NGVS-2+2.s.z 0.72 34 157.0 1.047e+01
NGVS-2+3.l.g 192 96 1232.0 3.896e-02
NGVS-2+3.l.i 68 122 2003.0 1.088e-01
NGVS-2+3.l.u 112 60 220.1 1.461e-01
NGVS-2+3.l.z 61 175 2572.3 1.957e-01
NGVS-2+3.s.g 3.73 12 20.1 2.013e+00
NGVS-2+3.s.i 1.37 21 63.7 5.475e+00
NGVS-2+3.s.u 4.57 19 50.8 1.643e+00
NGVS-2+3.s.z 0.86 28 106.1 8.680e+00
NGVS-2+4.l.g 191 96 1248.4 3.912e-02
NGVS-2+4.l.i 69 122 2002.8 1.081e-01
NGVS-2+4.l.u 131 64 248.5 1.253e-01
NGVS-2+4.l.z 56 171 2640.9 1.951e-01
NGVS-2+4.s.g 3.75 12 19.2 2.000e+00
NGVS-2+4.s.i 1.34 23 72.5 5.583e+00
NGVS-2+4.s.u 4.35 10 13.6 1.726e+00
NGVS-2+4.s.z 0.87 32 136.7 8.597e+00
NGVS-2+5.l.g 182 93 1165.6 4.116e-02
NGVS-2+5.l.i 67 119 1894.0 1.118e-01
NGVS-2+5.l.u 95 55 225.1 1.416e-01
NGVS-2+5.l.z 56 210 3685.4 2.117e-01
NGVS-2+5.s.g 3.49 16 38.0 2.150e+00
NGVS-2+5.s.i 1.37 18 46.3 5.464e+00
NGVS-2+5.s.u 4.75 23 73.2 1.580e+00
NGVS-2+5.s.z 0.92 30 125.9 8.119e+00
NGVS-2-1.l.g 196 107 1554.4 3.822e-02
NGVS-2-1.l.i 70 125 2107.6 1.063e-01
NGVS-2-1.l.r 50 78 2040.5 5.891e-02
NGVS-2-1.l.u 123 56 194.8 1.341e-01
NGVS-2-1.l.z 52 149 2128.1 1.990e-01
NGVS-2-1.s.g 3.51 15 30.6 2.135e+00
NGVS-2-1.s.i 1.37 13 25.4 5.482e+00
NGVS-2-1.s.u 4.87 12 20.8 1.541e+00
NGVS-2-1.s.z 0.87 24 80.8 8.633e+00
NGVS-2-2.l.g 189 95 1207.2 3.963e-02
NGVS-2-2.l.i 71 125 2105.2 1.053e-01
NGVS-2-2.l.r 51 80 2151.0 5.869e-02
NGVS-2-2.l.u 121 55 183.8 1.359e-01
NGVS-2-2.l.z 49 142 2041.3 1.983e-01
NGVS-2-2.s.g 3.50 15 31.5 2.144e+00
NGVS-2-2.s.i 1.35 18 48.0 5.558e+00
NGVS-2-2.s.u 4.82 12 21.0 1.556e+00
NGVS-2-2.s.z 0.88 20 55.0 8.540e+00
NGVS-2-3.l.g 188 96 1249.9 3.969e-02
NGVS-2-3.l.i 70 127 2160.7 1.058e-01
NGVS-2-3.l.u 112 66 270.0 1.463e-01
NGVS-2-3.l.z 55 195 3459.3 1.996e-01
NGVS-2-3.s.g 3.62 14 28.6 2.070e+00
NGVS-2-3.s.u 4.18 13 23.1 1.795e+00
NGVS-2-3.s.z 0.87 21 60.4 8.599e+00
NGVS-2-4.l.g 189 98 1283.4 3.952e-02
NGVS-2-4.l.i 71 123 2039.9 1.046e-01
NGVS-2-4.l.u 112 67 277.7 1.462e-01
NGVS-2-4.l.z 56 195 3450.0 1.955e-01
NGVS-2-4.s.g 3.30 16 37.9 2.269e+00
NGVS-2-4.s.i 1.36 19 48.7 5.527e+00
NGVS-2-4.s.u 4.25 13 24.2 1.766e+00
NGVS-2-4.s.z 0.90 20 55.7 8.376e+00
NGVS-2-5.l.g 195 96 1241.8 3.839e-02
NGVS-2-5.l.i 71 120 1928.8 1.054e-01
NGVS-2-5.l.r 82 96 2055.3 5.464e-02
NGVS-2-5.l.u 113 68 286.3 1.459e-01
NGVS-2-5.l.z 55 193 3373.2 2.003e-01
NGVS-2-5.s.g 3.60 27 97.2 2.084e+00
NGVS-2-5.s.i 1.37 18 47.2 5.491e+00
NGVS-2-5.s.u 4.07 13 24.1 1.843e+00
NGVS-2-5.s.z 0.88 22 67.6 8.568e+00
NGVS-2-6.l.g 192 103 1439.8 3.898e-02
NGVS-2-6.l.i 71 107 1532.4 1.056e-01
NGVS-2-6.l.u 116 67 278.6 1.418e-01
NGVS-2-6.l.z 61 209 3676.0 1.944e-01
NGVS-2-6.s.g 3.58 14 27.9 2.096e+00
NGVS-2-6.s.i 1.36 18 45.1 5.525e+00
NGVS-2-6.s.z 0.91 17 42.4 8.213e+00
NGVS-2-7.l.g 182 91 1124.5 4.107e-02
NGVS-2-7.l.i 72 131 2309.8 1.041e-01
NGVS-2-7.l.u 105 64 280.4 1.428e-01
NGVS-2-7.l.z 55 154 2278.6 1.896e-01
NGVS-2-7.s.g 3.49 17 40.9 2.151e+00
NGVS-2-7.s.i 1.35 17 40.4 5.547e+00
NGVS-2-7.s.z 0.91 18 47.2 8.275e+00
NGVS-3+0.l.g 195 97 1259.6 3.829e-02
NGVS-3+0.l.i 69 159 3374.4 1.081e-01
NGVS-3+0.l.r 84 109 1998.2 7.070e-02
NGVS-3+0.l.u 109 61 231.3 1.503e-01
NGVS-3+0.l.z 60 169 2406.8 1.982e-01
NGVS-3+0.s.g 3.51 13 22.6 2.135e+00
NGVS-3+0.s.i 1.35 17 42.5 5.562e+00
NGVS-3+0.s.u 4.57 20 53.6 1.642e+00
NGVS-3+0.s.z 0.87 27 103.8 8.664e+00
NGVS-3+1.l.g 195 98 1285.3 3.833e-02
NGVS-3+1.l.i 69 140 2623.6 1.086e-01
NGVS-3+1.l.r 91 102 1744.5 6.536e-02
NGVS-3+1.l.u 111 61 229.9 1.484e-01
NGVS-3+1.l.z 56 167 2523.9 1.953e-01
NGVS-3+1.s.g 3.69 13 23.2 2.032e+00
NGVS-3+1.s.i 1.38 17 42.0 5.424e+00
NGVS-3+1.s.u 4.20 14 27.8 1.785e+00
NGVS-3+1.s.z 0.89 27 99.9 8.458e+00
NGVS-3+2.l.g 187 104 1452.5 4.002e-02
NGVS-3+2.l.i 69 126 2138.7 1.079e-01
NGVS-3+2.l.u 113 61 227.3 1.459e-01
NGVS-3+2.l.z 56 186 3123.2 1.970e-01
NGVS-3+2.s.g 3.66 14 27.8 2.052e+00
NGVS-3+2.s.u 4.34 14 27.5 1.727e+00
NGVS-3+2.s.z 0.88 18 46.3 8.495e+00
NGVS-3+3.l.g 186 102 1392.9 4.013e-02
NGVS-3+3.l.i 69 125 2099.1 1.077e-01
NGVS-3+3.l.u 113 60 218.6 1.454e-01
NGVS-3+3.l.z 58 188 3126.2 1.952e-01
NGVS-3+3.s.g 3.67 13 25.5 2.042e+00
NGVS-3+3.s.i 1.37 16 36.8 5.456e+00
NGVS-3+3.s.u 4.64 39 204.0 1.615e+00
NGVS-3+3.s.z 0.89 18 47.3 8.395e+00
NGVS-3+4.l.g 188 100 1347.8 3.979e-02
NGVS-3+4.l.i 69 115 1771.9 1.083e-01
NGVS-3+4.l.u 93 56 237.0 1.446e-01
NGVS-3+4.l.z 55 198 3567.3 1.996e-01
NGVS-3+4.s.g 3.56 14 26.8 2.105e+00
NGVS-3+4.s.z 0.89 27 99.1 8.453e+00
NGVS-3+5.l.g 182 95 1206.2 4.107e-02
NGVS-3+5.l.i 66 112 1696.8 1.120e-01
NGVS-3+5.l.u 96 55 230.2 1.405e-01
NGVS-3+5.l.z 52 195 3451.0 2.118e-01
NGVS-3+5.s.g 3.54 14 28.3 2.117e+00
NGVS-3+5.s.z 0.91 30 124.9 8.260e+00
NGVS-3-1.l.g 197 109 1584.8 3.791e-02
NGVS-3-1.l.i 70 125 2093.1 1.065e-01
NGVS-3-1.l.u 112 61 226.0 1.462e-01
NGVS-3-1.l.z 57 158 2262.6 1.941e-01
NGVS-3-1.s.g 3.56 14 29.4 2.106e+00
NGVS-3-1.s.u 4.57 15 32.3 1.640e+00
NGVS-3-1.s.z 0.88 28 104.8 8.481e+00
NGVS-3-2.l.g 189 103 1418.9 3.961e-02
NGVS-3-2.l.i 69 128 2207.9 1.080e-01
NGVS-3-2.l.u 113 66 266.8 1.457e-01
NGVS-3-2.l.z 62 190 3015.1 1.929e-01
NGVS-3-2.s.g 3.64 12 20.4 2.059e+00
NGVS-3-2.s.u 4.28 13 23.4 1.751e+00
NGVS-3-2.s.z 0.87 32 136.6 8.589e+00
NGVS-3-3.l.g 186 110 1621.9 4.015e-02
NGVS-3-3.l.i 68 140 2643.2 1.094e-01
NGVS-3-3.l.u 113 66 265.5 1.456e-01
NGVS-3-3.l.z 51 162 2420.8 2.094e-01
NGVS-3-3.s.g 3.54 15 30.1 2.120e+00
NGVS-3-3.s.u 4.42 15 31.1 1.698e+00
NGVS-3-3.s.z 0.87 27 97.4 8.580e+00
NGVS-3-4.l.g 189 110 1614.4 3.950e-02
NGVS-3-4.l.i 68 143 2732.2 1.091e-01
NGVS-3-4.l.u 113 67 277.6 1.457e-01
NGVS-3-4.l.z 52 161 2398.7 2.082e-01
NGVS-3-4.s.g 3.53 15 31.6 2.127e+00
NGVS-3-4.s.u 4.34 14 29.1 1.729e+00
NGVS-3-4.s.z 0.88 26 94.3 8.520e+00
NGVS-3-5.l.g 189 110 1620.5 3.948e-02
NGVS-3-5.l.i 69 132 2333.2 1.085e-01
NGVS-3-5.l.u 113 67 277.1 1.458e-01
NGVS-3-5.l.z 51 163 2475.1 2.092e-01
NGVS-3-5.s.g 3.41 15 33.3 2.199e+00
NGVS-3-5.s.u 4.65 34 160.7 1.612e+00
NGVS-3-5.s.z 0.87 26 92.6 8.572e+00
NGVS-3-6.l.g 192 103 1417.0 3.893e-02
NGVS-3-6.l.i 71 96 1239.5 1.054e-01
NGVS-3-6.l.u 106 64 280.7 1.413e-01
NGVS-3-6.l.z 52 196 3487.5 2.112e-01
NGVS-3-6.s.g 3.56 14 27.2 2.106e+00
NGVS-3-6.s.i 1.42 35 172.7 5.265e+00
NGVS-3-6.s.z 0.91 17 42.4 8.216e+00
NGVS-4+0.l.g 195 98 1293.0 3.841e-02
NGVS-4+0.l.i 69 145 2822.7 1.086e-01
NGVS-4+0.l.u 117 56 193.2 1.409e-01
NGVS-4+0.l.z 59 183 2808.1 2.007e-01
NGVS-4+0.s.g 3.51 13 24.3 2.137e+00
NGVS-4+0.s.i 1.38 16 36.8 5.441e+00
NGVS-4+0.s.z 0.87 27 101.1 8.624e+00
NGVS-4+1.l.g 195 99 1325.4 3.846e-02
NGVS-4+1.l.i 69 147 2881.8 1.077e-01
NGVS-4+1.l.u 127 60 206.0 1.412e-01
NGVS-4+1.l.z 55 178 2885.2 1.987e-01
NGVS-4+1.s.g 3.67 13 25.2 2.046e+00
NGVS-4+1.s.i 1.31 28 104.6 5.717e+00
NGVS-4+1.s.z 0.88 27 100.7 8.550e+00
NGVS-4+2.l.g 194 91 1123.5 3.862e-02
NGVS-4+2.l.i 70 108 1565.7 1.069e-01
NGVS-4+2.l.u 119 56 193.0 1.386e-01
NGVS-4+2.l.z 60 201 3378.3 1.990e-01
NGVS-4+2.s.g 3.55 14 28.0 2.115e+00
NGVS-4+2.s.i 1.37 16 36.6 5.463e+00
NGVS-4+2.s.u 4.70 24 81.0 1.595e+00
NGVS-4+2.s.z 0.87 34 160.2 8.626e+00
NGVS-4+3.l.g 194 92 1133.5 3.856e-02
NGVS-4+3.l.i 70 110 1628.5 1.066e-01
NGVS-4+3.l.u 118 57 201.5 1.392e-01
NGVS-4+3.l.z 60 200 3344.6 1.972e-01
NGVS-4+3.s.g 3.57 14 28.5 2.104e+00
NGVS-4+3.s.z 0.91 20 54.3 8.257e+00
NGVS-4+4.l.g 193 91 1108.8 3.876e-02
NGVS-4+4.l.i 69 108 1583.0 1.079e-01
NGVS-4+4.l.u 118 57 203.5 1.397e-01
NGVS-4+4.l.z 61 200 3355.8 1.965e-01
NGVS-4+4.s.g 3.60 15 33.3 2.084e+00
NGVS-4+4.s.i 1.38 16 34.8 5.443e+00
NGVS-4+4.s.u 4.34 10 13.5 1.727e+00
NGVS-4+4.s.z 0.91 20 53.7 8.211e+00
NGVS-4-1.l.g 197 110 1616.8 3.798e-02
NGVS-4-1.l.i 70 126 2121.7 1.067e-01
NGVS-4-1.l.u 118 56 194.7 1.397e-01
NGVS-4-1.l.z 56 182 3018.3 1.981e-01
NGVS-4-1.s.g 3.55 15 32.1 2.114e+00
NGVS-4-1.s.i 1.37 16 37.1 5.470e+00
NGVS-4-1.s.z 0.88 27 102.0 8.558e+00
NGVS-4-2.l.g 193 92 1149.4 3.881e-02
NGVS-4-2.l.i 69 113 1732.8 1.087e-01
NGVS-4-2.l.u 117 58 205.8 1.406e-01
NGVS-4-2.l.z 60 200 3366.7 1.977e-01
NGVS-4-2.s.g 3.53 14 26.9 2.123e+00
NGVS-4-2.s.z 0.88 28 107.4 8.526e+00
NGVS-4-3.l.g 191 93 1158.6 3.918e-02
NGVS-4-3.l.i 68 114 1740.6 1.095e-01
NGVS-4-3.l.u 94 60 275.2 1.428e-01
NGVS-4-3.l.z 59 211 3737.1 2.002e-01
NGVS-4-3.s.g 3.51 14 27.9 2.137e+00
NGVS-4-3.s.z 0.88 28 105.2 8.545e+00
NGVS-4-4.l.g 187 109 1602.7 3.991e-02
NGVS-4-4.l.i 68 143 2737.1 1.096e-01
NGVS-4-4.l.u 94 60 269.9 1.427e-01
NGVS-4-4.l.z 52 163 2476.7 2.084e-01
NGVS-4-4.s.g 3.52 12 20.0 2.132e+00
NGVS-4-4.s.z 0.88 26 95.5 8.571e+00
NGVS-4-5.l.g 182 90 1103.4 4.105e-02
NGVS-4-5.l.i 73 128 2197.4 1.026e-01
NGVS-4-5.l.u 105 64 276.2 1.424e-01
NGVS-4-5.l.z 63 170 2422.6 1.875e-01
NGVS-4-5.s.g 3.53 17 42.4 2.125e+00
NGVS-4-5.s.i 1.37 18 45.0 5.462e+00
NGVS-4-5.s.z 0.91 32 137.9 8.207e+00
NGVS-5+0.l.g 178 91 1114.4 4.199e-02
NGVS-5+0.l.i 71 115 1771.3 1.042e-01
NGVS-5+0.l.u 130 55 189.2 1.260e-01
NGVS-5+0.l.z 52 175 2766.3 2.122e-01
NGVS-5+0.s.g 3.33 15 31.3 2.249e+00
NGVS-5+0.s.z 0.89 30 122.6 8.397e+00
NGVS-5+1.l.g 177 90 1096.6 4.226e-02
NGVS-5+1.l.i 71 116 1814.5 1.048e-01
NGVS-5+1.l.u 128 56 193.6 1.282e-01
NGVS-5+1.l.z 57 190 3013.8 2.078e-01
NGVS-5+1.s.g 3.33 15 30.5 2.252e+00
NGVS-5+1.s.i 1.36 16 37.1 5.535e+00
NGVS-5+1.s.z 0.92 17 41.1 8.181e+00
NGVS-5+2.l.g 178 89 1073.3 4.204e-02
NGVS-5+2.l.i 72 116 1821.2 1.034e-01
NGVS-5+2.l.u 130 56 192.7 1.266e-01
NGVS-5+2.l.z 52 174 2744.5 2.102e-01
NGVS-5+2.s.g 3.37 14 30.0 2.228e+00
NGVS-5+2.s.z 0.91 32 141.5 8.276e+00
NGVS-5+3.l.g 180 89 1064.0 4.153e-02
NGVS-5+3.l.i 73 116 1806.9 1.023e-01
NGVS-5+3.l.u 91 57 243.9 1.473e-01
NGVS-5+3.l.z 60 171 2660.7 1.849e-01
NGVS-5+3.s.g 3.34 15 30.1 2.243e+00
NGVS-5+3.s.i 1.39 16 37.2 5.388e+00
NGVS-5+3.s.u 4.71 13 25.8 1.592e+00
NGVS-5+3.s.z 0.89 28 106.7 8.393e+00
NGVS-5-1.l.g 181 90 1088.6 4.124e-02
NGVS-5-1.l.i 72 115 1774.0 1.037e-01
NGVS-5-1.l.u 130 56 192.9 1.264e-01
NGVS-5-1.l.z 55 175 2792.5 2.003e-01
NGVS-5-1.s.g 3.47 12 20.6 2.159e+00
NGVS-5-1.s.i 1.41 28 106.7 5.326e+00
NGVS-5-1.s.z 0.92 33 153.9 8.137e+00
NGVS-5-2.l.g 181 90 1091.6 4.124e-02
NGVS-5-2.l.i 72 128 2195.3 1.035e-01
NGVS-5-2.l.u 130 57 203.1 1.261e-01
NGVS-5-2.l.z 63 166 2313.2 1.894e-01
NGVS-5-2.s.g 3.51 17 42.3 2.134e+00
NGVS-5-2.s.i 1.38 24 79.1 5.417e+00
NGVS-5-2.s.z 0.89 33 152.3 8.427e+00
NGVS-6+0.l.g 179 90 1098.0 4.180e-02
NGVS-6+0.l.i 71 114 1760.9 1.047e-01
NGVS-6+0.l.u 130 56 192.6 1.260e-01
NGVS-6+0.l.z 56 187 2936.2 2.130e-01
NGVS-6+0.s.g 3.29 14 29.9 2.279e+00
NGVS-6+0.s.i 1.40 29 114.4 5.340e+00
NGVS-6+0.s.z 0.91 27 102.9 8.268e+00
NGVS-6+1.l.g 179 90 1089.7 4.189e-02
NGVS-6+1.l.i 71 114 1753.5 1.050e-01
NGVS-6+1.l.u 131 56 194.3 1.255e-01
NGVS-6+1.l.z 53 179 2917.5 2.064e-01
NGVS-6+1.s.g 3.45 15 30.1 2.175e+00
NGVS-6+1.s.i 1.40 39 203.5 5.348e+00
NGVS-6+1.s.z 0.93 27 99.9 8.104e+00
NGVS_BG_1.l.g 175 95 1215.0 4.278e-02
NGVS_BG_1.l.i 70 166 3674.8 1.057e-01
NGVS_BG_1.l.r 176 145 2024.6 5.951e-02
NGVS_BG_1.l.u 124 46 133.3 1.328e-01
NGVS_BG_1.l.z 64 186 2899.2 1.864e-01
NGVS_BG_2.l.g 189 81 881.5 3.948e-02
NGVS_BG_2.l.i 70 110 1630.2 1.069e-01
NGVS_BG_2.l.r 183 120 1378.0 5.727e-02
NGVS_BG_2.l.u 120 48 142.2 1.372e-01
NGVS_BG_2.l.z 62 118 1168.6 1.920e-01
NGVS_BG_3.l.g 193 111 1670.6 3.869e-02
NGVS_BG_3.l.i 64 107 1527.6 1.159e-01
NGVS_BG_3.l.r 185 129 1591.3 5.673e-02
NGVS_BG_3.l.u 122 53 176.7 1.351e-01
NGVS_BG_3.l.z 59 194 3153.5 2.005e-01
NGVS_BG_4.l.g 192 96 1238.4 3.897e-02
NGVS_BG_4.l.i 70 176 4135.2 1.070e-01
NGVS_BG_4.l.u 114 56 194.2 1.447e-01
NGVS_BG_4.l.z 63 213 3793.9 1.888e-01